About Me

Hello! I am an M.A. student in Social Policy at Renmin University of China. I obtain my bachelor‘s degree in University of Chinese Academy of Social Sciences.
My research belongs to Environmental Economics and Development Economics.

Environmental Economics: Climate adaptation, Pollution, Sustainable development, Health.
Urban Economics: Sustainable urbanization, Subway, Commuting, Housing prices.
Development economics: Health, Education, Economic history, Human capital.

Methodologically, I primarily use large, unique datasets for causal inference, supplemented by randomized controlled trial and structural modeling. In addition, I explore machine learning and artificial intelligence for decision support.

Learn more from my CV. If you are interested in any aspect of my work, I would love to chat and collaborate. Please feel free to contact me via email:
zlcong426@gmail.com
congzhenglong@ruc.edu.cn

🌟 Recent Research Highlights

Solving Coordination Failures: Collective Land Transfer Rights and Rural Entrepreneurship

Strengthening communal land transfer rights enhances rural entrepreneurship—particularly in areas where collective coordination is more feasible—by reducing land use costs and increasing local land wealth.

The Role of Weather Forecasts in Climate Adaptation and Reducing Medical Costs in China

Improving forecast accuracy significantly reduces morbidity and medical spending, with mispredictions—especially under extreme weather—driving sizable increases and highlighting information as a cost-effective adaptation.

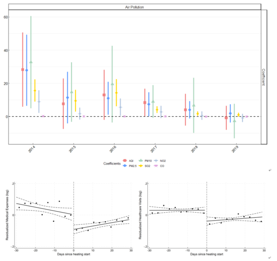
Heating For Health: Cold Adaptation, Pollution Trade-Offs, and Distributional Impacts of Winter Heating on Medical Expenditure

Winter district heating cuts medical expenses and visits via cold adaptation, but pollution offsets about two-thirds of the gains and disproportionately harms rural and non-CDHS-covered residents.